For any two event A, B the Probability of A union B equals to probability of A added to probability of B minus probability of A intersection B.
Proof :-
Suppose, the simple events in A∩B are γ1, γ2, γ3,…………,γk
simple events in A are
α1, α2, α3,……….,αm, γ1, γ2, γ3,…………,γk
simple events in B are β1, β2, β3,……….,βn, γ1, γ2, γ3,…………,γk
Then simple events in A∪B = α1, α2, α3,……….,αm, β1, β2, β3,……….,βn, γ1, γ2, γ3,…………,γk
Number of simple events in A∩B = k
Number of simple events in A = m+k
Number of simple events in B = n+k
Number of simple events in A∪B = m+n+k
If we suppose number of simple events in S = N, then
- P(A∩B) = k/N
- P(A∪B) = (m+n+k)/N
- P(A) = (m+k)/N
- P(B) = (n+k)/N
But according to the theorem we have
→ P(A) + P(B) – P(A∩B) = P (A∪B)
considering L.H.S(left hand side of equation above)
P(A) + P(B) – P(A∩B)
= (m+k)/N + (n+k)/N – k/N
= (m+n+k)/N
= P (A∪B)
Note that, if A and B are exclusive events then P (A∪B) = P(A) + P(B)
Remark:- For any three events A,B,C
P(A∪B∪C) = P(A) + P(B) + P(C) – P(A∩B) – P(B∩C) – P(C∩A) + P(A∩B∩C)
And
- If A,B,C are mutually exclusive events, then P(A∪B∪C) = P(A) + P(B) + P(C)
- If A,B,C are mutually exclusive and exhaustive events, then P(A∪B∪C) = P(A) + P(B) + P(C) = 1
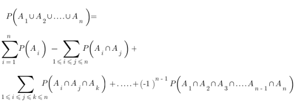
In general, if we consider A1, A2, A3,………,An are any n elements then
Note :-
- If A1, A2, A3,……..,An are any n mutually exclusive events, then
- If A1, A2, A3,……..,An are mutually exclusive and exhaustive events then
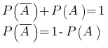
Since A and complimentary element of A are exclusive and exhaustive for any event A we get,
If A,B are two events such that A is subset of B then P(B-A) = P(B) – P(A)
Note that, for any two events A,B P(B-A) = P(B) – P(A∩B)

