Linguistic Hedges:-
In linguistics, the fundamental atomic terms are often modified with adjectives or adverbs like very, more, slight, more-or-less, almost, nearly, roughly, approximately etcetera. We call these modifiers as linguistic hedges.
Basic Linguistic Atom:-
Basic linguistic atom α is defined as
, then
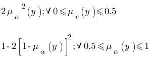
“Very” α
“very very” α
“plus” α
“slightly” α
“minus” α
“Intensify” α
“not very” α
while considering the linguistic hedges like
It should be interpreted such that the precedence should be given from the right. In other words, ambiguities in precedence order may be resolved from the use of “association-to-the-right”.
Example:-
Suppose we have universe of integers y={1,2,3,4,5}
we define the following linguistics as a mapping onto y.
By modifying these two linguistic terms with linguistic hedges to find “very small”, “not very small”, “not very small & not very very large” we get












