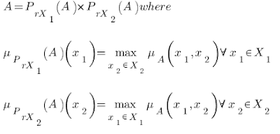
Non-interactive fuzzy sets can be thought of analogous to independent events in probability theory. Which means the occurrence of one event is not dependent on the occurrence of others.
Fuzzy set ‘A’ is separable into two non-interactive fuzzy sets called orthogonal projections if and only if
