Just like Binomial Distribution, Poisson Distribution is also a random variable distribution. We apply Poisson distribution in any one of the following cases:
- n, the number of times that the experiment is conducted is sufficiently large.
- Occurrence of success is rare.
- Occurrence of success is frequent.
In Poisson distribution, values of random variable are the number of successes.
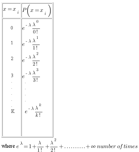
If λ is a parameter then probability of getting k times success is
Now Poisson distribution with parameter λ can be written in tabular form as follow:
Theorems :-
- Arithmetic Mean of Poisson variable X whose parameter is λ, is λ
- Variance of a Poisson variable X with parameter λ, is λ

